ZIF-8/g-C3N4复合材料光催化深度氧化NO性能的研究
研究背景
氮氧化物(NOx)是主要的大气污染物之一。光催化氧化技术因其反应条件温和,二次污染少而被用于处理低浓度NOx,但传统催化剂存在光催化效率低、光的利用率低、光生电子-空穴易复合、催化剂容易失活等问题,严重影响了光催化剂的效率和稳定性。因此,开发用于光催化氧化低浓度NOx的高效催化剂具有重要意义。
g-C3N4是一种非金属有机聚合物半导体,具有2.7-2.8 eV的适度带隙,具有可见光响应,无毒,物理化学稳定性好,价格低廉,容易制备,且结构和性能易于调控,具有较好的光催化性能,但是存在光生电子-空穴对易复合、比表面积较小且气体吸附能力弱等缺陷;沸石咪唑盐骨架(ZIFs)是MOFs的一种,是一类新兴的多孔材料,具有传统MOFs和沸石的双重优势,不仅具有较高的化学和热稳定性,而且具有较高的比表面积和可调控的晶体结构,ZIF-8由于其相对简单的晶体结构,高稳定性,相对较大的孔体积以及易于获得的原料和低成本而成为研究最广泛的ZIFs,但也存在不具有可见光响应,直接作为光催化剂效率低等问题。本研究将g-C3N4与ZIF-8进行组装构成复合催化剂,为光催化去除低浓度NOx提供了一个新思路。
本文将g-C3N4与ZIF-8进行原位合成,形成复合催化剂(ZIF-8/g-C3N4),发挥各自的优势,g-C3N4具有可见光响应,作为主催化剂,ZIF-8的比表面积比较大,吸附能力强,有利于吸附反应物,促进光催化反应;同时,ZIF-8与g-C3N4形成异质结,可以促进光生载流子的分离,克服了g-C3N4电子-空穴易复合的缺点,有效提升了光催化去除NO的效率
本文在温和条件下,通过将菱形的十二面体ZIF-8与层状g-C3N4复合,成功合成了ZIF-8/ g-C3N4复合材料,合成的ZIF-8/ g-C3N4复合材料没有破坏ZIF-8与g-C3N4原始的晶体结构与形貌,且ZIF-8与g-C3N4形成了异质结。

图1 g-C3N4((a), (e))、ZIF-8((b), (f))、12.5%-ZIF-8/g-C3N4((c), (g))和PM-12.5%-ZIF-8/g-C3N4((d), (h))的SEM图像((a) - (d))与TEM图像((e )-(h))和12.5%-ZIF-8/g-C3N4的EDS元素分布图((i)-(l))
Fig. 1 SEM ((a)-(d)) and TEM ((e)-(h)) images of g-C3N4((a), (e)), ZIF-8((b), (f)), 12.5%-ZIF-8/g-C3N4((c), (g)) and PM-12.5%-ZIF-8/g-C3N4((d), (h)); Elements mappings ((i)-(l)) of 12.5%-ZIF-8/g-C3N4
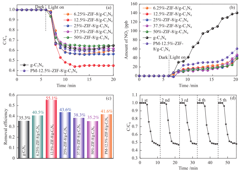
通过NO的光催化氧化实验考察该复合材料的光催化氧化性能。实验结果表明,12.5%-ZIF-8/g-C3N4(ZIF-8与g-C3N4的质量比)的NO氧化去除效率最佳,且不生成有毒中间产物NO2,具有最优异的光催化活性,对于NO的氧化去除率可达55.1 %。

图2 g-C3N4和ZIF-8/g-C3N4的光催化活性:NO去除率 ((a), (c));NO2的生成量(b);ZIF-8/g-C3N4光催化去除NO的循环活性图(d)
Fig. 2 ((a), (c))Photocatalytic performance of different photocatalyst samples for removal of NO under visible light irradiation; (b) corresponding amount of NO2 generated over different photocatalyst samples; (d) Cyclic experiment of ZIF-8/g-C3N4 photocatalytic removal of NO
机理研究表明,基于g-C3N4的异质结构不仅抑制了光生载流子的复合,而且由于g-C3N4与ZIF-8之间的协同作用,促进了可见光的吸收、超氧自由基的生成以及反应物分子NO的吸附,从而提高了复合材料对NO的光催化氧化性能。

图3 ZIF-8和g-C3N4的禁带宽度图(a)、莫特-肖特基图(b)及ZIF-8/g-C3N4光催化去除NO机理图
Fig. 3 (a) The band gaps and (b) Mott-Schottky plots of ZIF-8 and g-C C3N4; (c) Possible mechanism of photocatalytic NO removal over ZIF-8/g-C3N4
通讯作者以及课题组简介
朱鹏飞,工学博士,陕西科技大学环境科学与工程学院副教授,硕士生导师,环境科学与工程系主任,陕西省秦岭生态保护青年学者。2016年毕业于日本国立富山大学,在碳一化学领域国际知名Noritatsu Tsubaki教授(日本工程院院士)研究组获工学博士学位。目前主要从事分子筛和MOF基功能材料的合成及其太阳能分解水产氢、NOx、CO2等气体催化转化方面的研究。主持国家自然科学基金项目1项、陕西省重点研发计划项目1项、陕西省教育厅专项项目1项、陕西省科协学术交流项目1项、国家重点实验室开放基金3项、企业委托技术开发项目1项。在Journal of Materials Chemistry A, Chinese Journal of Catalysis, Catalysis Science & Technology等国际权威SCI刊物上发表论文20余篇,ESI高被引论文1篇。担任中国能源学会专家委员会委员,全国材料与器件科学家智库专家委员会常务委员,中国化学会会员、中国化工学会会员、中国感光学会光催化专委会会员、《燃料化学学报》学术编辑/专刊客座编辑、《天然气化工-C1化学与化工》青年编委。获首届海峡两岸暨港澳能源青年学者论坛优秀报告奖、日本富山县国际交流基金、日本朝日国际教育财团基金等。
王传义,博士,德国洪堡学者、英国皇家化学会会士、国家外专局高端外国专家创新团队负责人、德国洪堡基金会联合研究小组中方负责人、陕西省“西北生态环境材料与技术”创新引智基地和西安市国际科技合作基地(“生态环境材料与绿色低碳技术”国际联合研究中心)负责人,陕西科技大学特聘教授、学术院长、武汉大学兼职教授、博士生导师。应邀担任中国能源学会常务理事、中国能源学会专家委员会新能源专家组副主任委员、中国可再生能源学会光化学专业委员会委员、中国感光学会光催化专业委员会委员及中国环境科学学会特聘理事、国家科技奖励和国家重点研发计划项目会评专家及国家基金委(包括中国、以色列、波兰、智利等国家基金委)、教育部、中科院等机构项目评审专家。先后承担了国家科技支撑计划、国家自然科学基金(面上、联合基金重点、国际合作研究)、中科院-国家外专局创新国际团队项目等30余项科研课题,总经费3000多万元。在Chemical Reviews, JACS, Nature Communications, Angew. Chem. Int. Ed., EST等国际重要学术刊物上发表论文260多篇,论文被他人引用10000多次,其中引用100次以上的文章有35篇,H-指数值63。主编英文专著1部,申请中国发明专利70多件(其中50多件已获授权) 。
引用本文
尹晓荷, 庞吉胜, 娄晨思, 史雨翰, 朱鹏飞, 王传义. ZIF-8/g-C3N4复合材料光催化深度氧化NO性能的研究[J]. 燃料化学学报. doi: 10.19906/j.cnki.JFCT.2022046
YIN Xiao-he, PANG Ji-sheng, LOU Chen-si, SHI Yu-han, ZHU Peng-fei, WANG Chuan-yi. Photocatalytic performance of ZIF-8/g-C3N4 composite for deep oxidation of NO[J]. Journal of Fuel Chemistry and Technology. doi: 10.19906/j.cnki.JFCT.2022046
